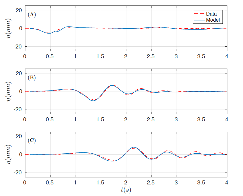
As in BP1, in this benchmark the same two items remain undetermined: initialization and stoping of the solid block. With respect to the described as "numerical artifact" in the questions after the presentation at the workshop, we have determined that this was not a numerical artifact, but the "shadow" of the moving block at surface. The appearance of this bump at surface can be avoided by stopping the solid block earlier and it appears when the block is moved as far as posible ("possible" from a physical point of view, or even "beyond", if doing it numerically). We have numerical experiments and animations of different strategies showing the described behavior. The two-dimensional domain [-1, 10] x [-1.8, 1.8] is discretized with Ax = Ay = 0.02 m and the number of layers was set up to 3. Similar results were observed using more layers. The simulated time was 4 s. We set the CFL = 0.9 and g = 9.81. Outflow boundary conditions are imposed at x = —1, x = 10 and wall boundary conditions at y = —1.8, y = 1.8. We present numerical results for two proposed cases (out the seven included in this data set) for d = 61 mm and d = 120 mm. Figure 4 shows the results for the first case, d = 61 mm, and Figure 5 depicts the results for the second case, d= 120 mm. In this second case measured lab data for gauge G3 were not available.
Figure 4. Comparison of data time series (red) and numerical (blue) at wave gauges (A) g1, (B) g2, (C) g3, and (D) g4 for the case d=61 mm.
Figure 5. Comparison of data time series (red) and numerical (blue) at wave gauges (A) g1, (B) g2, and (C) g4 for the case d=120 mm.
