Two-dimensional subaerial granular slide For this benchmark we use the same model configuration as in the former problem: the Multilayer-HySEA (non-hydrostatic) model coupled with a Savage-Hutter model for the granular material (the latter is the same as the one implemented in the Landslide-HySEA model). The resulting model is weakly coupled, and the water feels the moving bottom, but the slide material is not affected by the gradient variations of water surface. The number of layers was set up to 3.
The one-dimensional domain [0, 2.2] is discretized with Ax = 0.003 m. The simulation time is 2.5 s. We set the CFL = 0.9 and g -= 9.81. Wall boundary conditions were imposed. The ratio of densities r = Ps= 0.6, the Coulomb friction was set to 6 = 12° and Manning n = 0.0001. Pb
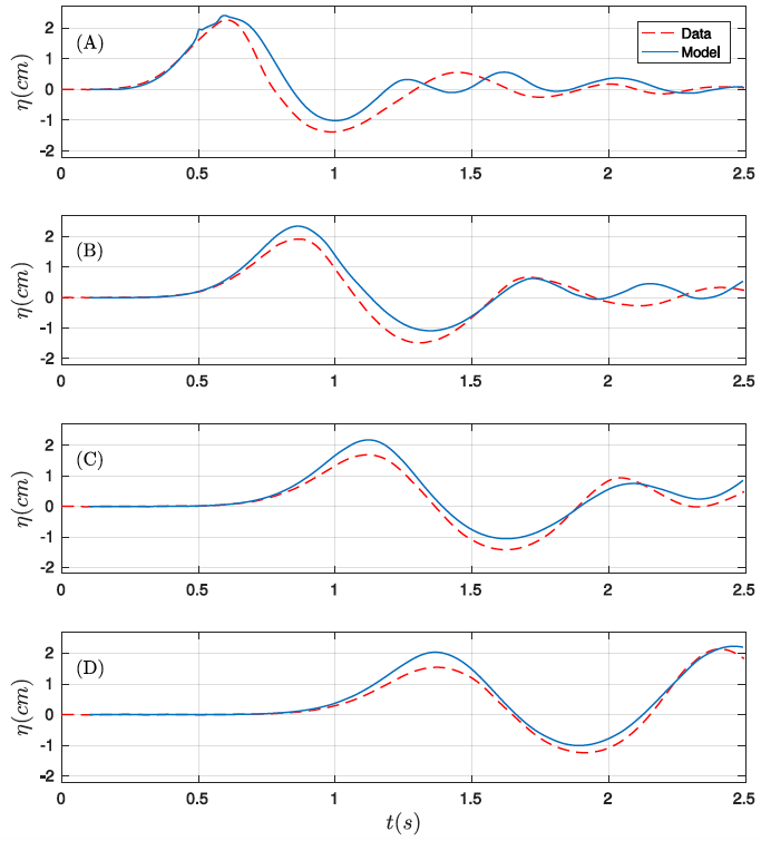
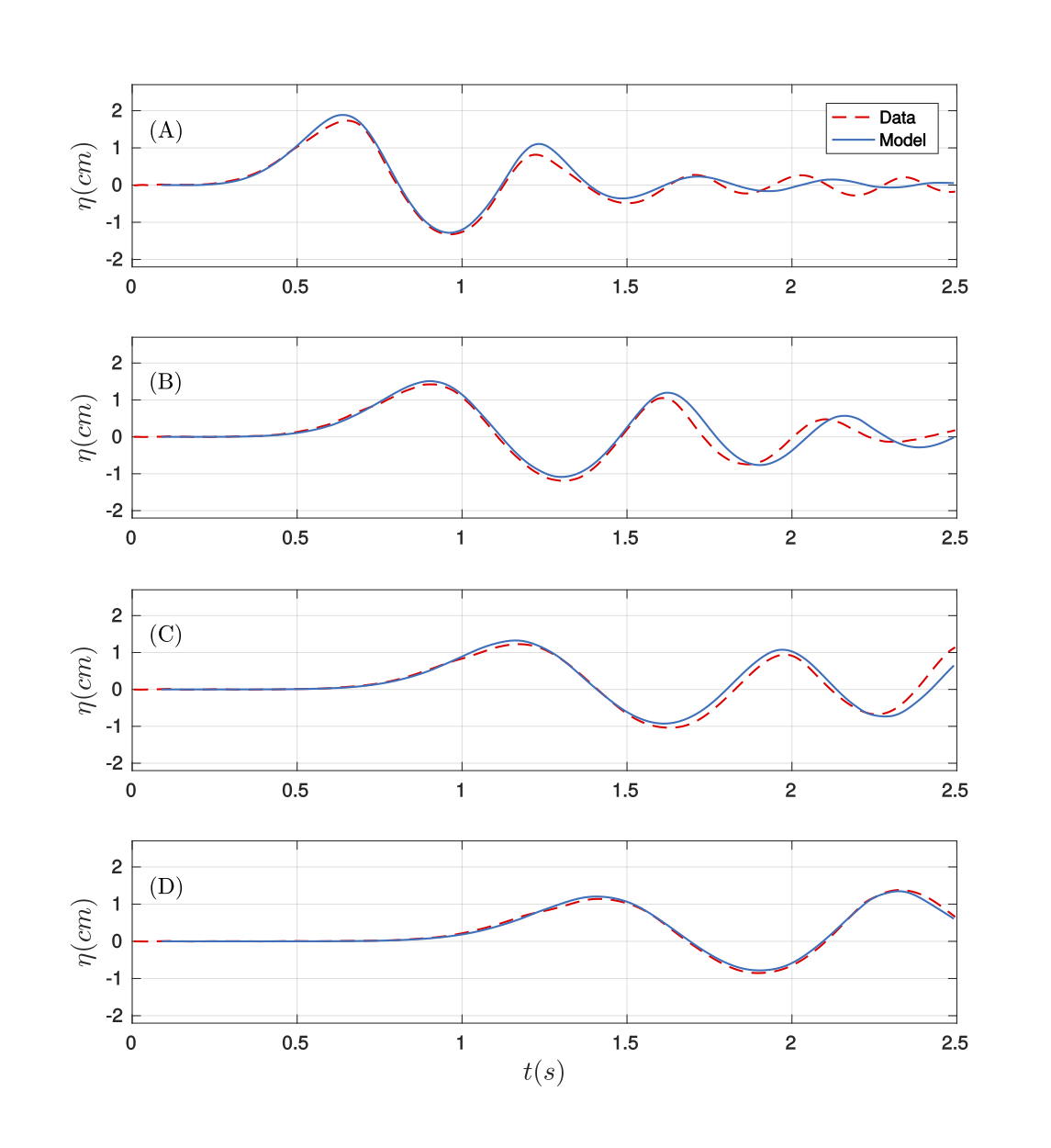
Figure 12 shows the comparison for Case 1 (D = 1.5 mm, H = 14.8 cm and L = 11 cm). Figure 13 shows the comparison for Case 2 (D = 10 mm, H = 15 cm and L = 13.5 cm). Figure 14 depicts the free surface elevation and the granular layer location at several times for Case 1. It can be observed that the agreement with lab data is much better for Case 1 than for Case 2 and also that this agreement is also better for gauges located further from the slide. This latter behavior can be explained as a consequence of the fact that the hydrodynamic component is much better resolved and simulated than the morphodynamic component (the movement of the slide material), obviously much more difficult to reproduce.
Figure 12. Comparison of data time series (red) and numerical (blue). Case 1. (A) G1, (B) G2, (C) G3, and (D) G4.
Figure 13. Comparison of data time series (red) and numerical (blue). Case 2. (A) G1, (B) G2, (C) G3, and (D) G4




Figure 14. Numerical profiles of the water free surface elevation and the grain layer at times $t=0,\ 0.2,\ 0.4,\ 0.8\ s$ for the Case 1.
